![]()
One Hundred and Thirty-Seven
By Rabbi Dr. Hillel ben David (Greg Killian)
![]()
The Structure of the Mishkan (Tabernacle)
![]()
For many, the number 137 is more than just a numerical value. It's a bridge between the tangible world of science and the intangible realm of mysticism.
Is there a number at the root of the universe? A primal number that everything in the world hinges on? This question exercised many great minds of the twentieth century, among them the groundbreaking physicist Wolfgang Pauli and the famous psychoanalyst Carl Jung. Their obsession with the power of certain numbers―including 137, which describes the atom’s fine-structure constant and has great Kabbalistic significance―led them to develop an unlikely friendship and to embark on a joint mystical quest reaching deep into medieval alchemy, dream interpretation, and the Chinese Book of Changes. 137 explores the profound intersection of modern science with the spiritual.
Beyond its scientific importance, 137 has been seen as a number with deeper, metaphysical implications. English astrophysicist Arthur Eddington, a pivotal figure in validating Einstein's General Theory of Relativity, viewed 137 as a number with spiritual ramifications. He believed that perhaps the mysteries of the universe could be unraveled through numbers, with 137 being a key.
The intersection of quantum theory and relativity, explored by quantum physics pioneer Wolfgang Pauli with the help of Carl Jung, also highlighted the significance of 137. This number's allure was so profound that in 1936, Nature published an article titled "The Mysterious Number 137".
The number 137, whether viewed through the lens of science or spirituality, remains one of the greatest mysteries of our time. Its dual significance in both realms makes it an important number that continues to intrigue good theoretical physicists and spiritualists alike.
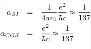
The fine-structure constant is defined by:

Where e is the elementary electrical charge (the charge of an electron), ħ is the reduced Planck constant (h/2π), c is the speed of light in a vacuum, and ε0 is the electric constant. The value of the fine-structure constant is α-1 = 137.03599913. This constant, represented as approximately 1/137.03599913, gauges the strength of the electromagnetic force, according to the National Institute of Standards and Technology. This force governs how charged elementary particles, like electrons, interact with light's photons.
“One hundred thirty-seven is the inverse of something called the fine-structure constant. …The most remarkable thing about this remarkable number is that it is dimension-free. …Werner Heisenberg once proclaimed that all the quandaries of quantum mechanics would shrivel up when 137 was finally explained.”[1]
“It has been a mystery ever since it was discovered more than fifty years ago, and all good theoretical physicists put this number up on their wall and worry about it. It’s one of the greatest damn mysteries of physics: a magic number that comes to us with no understanding by man. You might say the ‘hand of God’ wrote that number, and ‘we don’t know how He pushed his pencil.”[2]
This constant, quite surprisingly, it turned out to be a dimensionless quantity. This is particularly remarkable, since most of our physical constants usually depend on the system of units being used.
Such dimensionless constants are few and far between. One of them is the fine-structure constant. The value of this constant is, approximately, 1/137 and it is the same in any system of units. This number represents, inter alia, the probability that an electron will absorb or emit a photon. If an electron (electron is a fermion – a particle of matter) and a photon (photon is a boson – a particle of force) are seen as metaphors for the physical and the spiritual respectively, the number 137 becomes symbolic of the interphase between physical and spiritual, between lights (orot) and vessels (kelim).
Many people have therefore connected science, math, and mysticism. 137 refers to electrons and the odds of an electron absorbing a single photon, so in simple Kabbalah language, 137 is about Vessel and Light. It is about the physical body of man (Vessel) and our ability to ignite the Light in the soul.
If you don't know why the number 137 matters here are just 5 examples why.
137 = Atoms in a human blood cell. (Infrared light)
137 = Atoms in chlorophyll (pertaining to photosynthesis)
137 = Fine structure constant (light-absorbing or repelling)
137 = 13.77 billion age of Earth (amount of time light touched Earth)
137 = Alpha (light)
Everything is connected.
the Fine Structure Constant (1/137) determines how an atom receives a photon of light, the Gematria of "Receiving" (Kabbalah = 137) determines how a soul receives the spiritual light of Chanukah.
Just as the fine-structure constant relates to the absorption (receiving) of a photon (light) by an electron (matter), the ultimate symbolism of the number 137 in the Kabbalah is the receiving (kabbalah) of the Infinite Light – Ohr Ein Sof (1) – into ten vessels-sephirot comprised of the three (3) sephirot of sechel (intellect, ChaBaD: Chochmah, Binah, and Daat) and seven (7) lower sephirot-middot = 137 (1 + 23 + 27 = 137).
Kabbalah, meaning “receiving” or “received [wisdom]” in Hebrew, is a spiritual framework that seeks to understand the divine and the mysteries of creation. The root of the word “KaBaLah” – K-B-L appears for the first time in Exodus: 26:5 and 36:12.
Shemot (Exodus) 26:5 Fifty loops shalt thou make in the one curtain, and fifty loops shalt thou make in the edge of the curtain that is in the second set; the loops shall be opposite one to another.
Shemot (Exodus) 36:12 Fifty loops made he in the one curtain, and fifty loops made he in the edge of the curtain that was in the second set; the loops were opposite one to another.
The word “opposite” – “maKBiLot” has a root K-B-L. These verses speak of a curtain separating Kodesh Hakadoshim – the Holy of Holies – from the Kodesh, the area called “Holy” immediately adjacent to it. It is viewed symbolically as the curtain separating spiritual and material worlds. The number 137 is, therefore, seen as appearing on the boundary of the physical and the spiritual.
The Hebrew word for Kabbalah itself, קַבָּלָה, has a numerical value (Gematria) of 137, linking the practice of mysticism to the number, often discussed alongside concepts like the coupling of light/matter or divine connection, and also appears in biblical contexts like Ishmael's age.[3]
Bereshit (Genesis) 25:17 And these were the years of the life of Ishmael: one hundred and thirty-seven years.
Some interpretations relate 137 to the balance or interaction between the spiritual (divine) and material worlds, or the "coupling of light and matter”.[4]
One synonym for “trumpet” in the Torah is “a mighty instrument” (כְּלִי עֹז), which has a numerical value of 137.
In the Torah we often find accounts of an individual’s lifespan. The most common lifespan is 137 years old, an age reached explicitly by three individuals. Indeed, 137 is a most significant number.
There are four basic words that have a numerical value of 137:
“Kabbalah” (קַבָּלָה),
“origin” (מוֹצָא),
“monument” (מַצֵבָה) and
“wheel” (אוֹפָן).
The number 137 is discussed profusely elsewhere with reference to the inverse of the fine-structure constant (a physical constant), a number that has captured the curiosity of physicists in the past century.
The angel Yofiel, known as the “Angel Prince of Torah” as mentioned in the Zohar, has the numerical value of 137! Guess what this particular angel taught Moshe?
The angel called Yofiel taught Moshe the mysteries of Kabbalah! Yet another connection between 137 and Kabbalah!
Chakma (wisdom) + Nevua (prophecy) = Kabbalah
137 = קַבָּלָה (Kabbalah - receiving)
73 = חכמה (chakmah - wisdom)
64 = נבואה (nevua - prophecy)
64 + 73 = 137
It is not coincidental that the first time the number 137 appears in the Torah portion of Chayei Sarah. This portion begins with the verse:
Bereshit (Genesis) 23:1 And the life of Sarah was one hundred years and twenty years and seven years; [these were] the years of the life of Sarah.
The small gematria (mispar katan) of Sarah is 10: Shin (3) + Resh (2) + Heh (5). Sarah lived 127 years. 10+127=137.
The Zohar[5] teaches that Sarah represented the body whereas Abraham represented the soul. It is appropriate, therefore, that the inverse fine-structure constant (albeit an integer approximation thereof) that characterized the probability of absorption and emission of a photon by an electron, i.e. interaction between the matter and the light, first appears in the Torah portion dealing with the interaction of the body and the soul – Sarah and Abraham.
Ishmael: Died at age 137.
The death of Ishmael at exactly 137 years (Genesis 25:17) is the key that Chazal and the meforshim use to unlock the spiritual meaning of the number 137 itself.
Classic Jewish sources explain it this way:
Bereshit Rabbah 62:5 and Rashi ad loc.
Ishmael’s lifespan is stated only because he did teshuvah in his later years. The Torah deliberately gives him the identical lifespan (137) that Levi and Amram later receive in order to teach that “Even the seed of Ishmael can reach the same spiritual level as the holy tribe of Levi - if they repent.”
Baal HaTurim (on Genesis 25:17) and Kli Yakar
137 = קַבָּלָה (132 + 5 for the letter ה׳)
The number 137 symbolizes the capacity to receive holiness / Shechina, a capacity that is not limited to the biological descendants of Jacob, but is available through teshuvah even to Yishmael.
Zohar Chadash (Ruth 81b) and Arizal (Sha’ar HaPesukim, Genesis 25)
Ishmael’s soul-root is from the left-side gevurah (severity). When he repents, that same Gevurah is sweetened and elevated to the level of Levi (also Gevurah, but holy Gevurah). The identical 137 years are the sign that the transformation is complete - the “wild man” has become fit to “receive the light” (קַבָּלָה = 137).
Sefat Emet (Bereshit 5637)
“137 is the number of potential holiness that is hidden in the klipah. Ishmael dying at 137 proves that no soul is ever written off; every 137-year lifespan in Torah marks a threshold where even the most distant seed can cross over and stand in the camp of Israel.”
Concise bottom line from the sources:
137 = the lifespan granted to those who stand on the borderline between exile and redemption, between klipah and kedushah.
Ishmael’s 137 years teach that teshuvah can elevate even the “wild man of the desert” to the identical spiritual stature that Levi and Amram achieve through birthright.
Thus 137 is the Torah’s number for “redemption through return” — the promise that nothing and no one is ever beyond repair.
Levi: Son of Jacob, died at age 137 (Exodus 6:16).
Levi’s death at exactly 137 years[6] is the second appearance of the number and, together with Ishmael and Amram, forms the classic triad that Chazal and the meforshim use to define the spiritual signature of 137.
How Levi’s 137 illuminates the number:
Midrash (Sifrei Bamidbar 118; Yalkut Shimoni Shemini 541)
Levi lived longer than all his brothers because he did not bow to Esau and because he stood with Shimon against Shechem to defend the honor of Israel.[7] His extra years are a reward for zealous defense of kedushah, holiness; 137 therefore marks the maximum lifespan granted to one who purifies the camp from foreign influence and immorality.
Ramban (Exodus 6:16) and Kli Yakar
Levi is the first of the three 137-year figures who belongs entirely within the holy lineage. His 137 years are the archetype of the number: the lifespan of the guardian of the camp’s purity (the tribe that later encircles the Mishkan and removes the impure).
Baal HaTurim & Arizal (Sha’ar HaPesukim)[8]
Levi = גְּבוּרָה קְדוֹשָׁה (holy severity).
His 137 = קַבָּלָה (132 + 5) = the ability to receive the Shechinah only after strict purification. Levi’s entire life is spent separating the holy from the profane; 137 is therefore the numerical seal of the purified vessel that can now contain divine light.
Sefat Emet
“Levi at 137 shows the positive side of the coin whose negative side is Ishmael at 137. The same 137 that Ishmael reaches through teshuvah (returning to holiness) Levi possesses from birth because he never left holiness. Thus 137 is the number of the camp that is worthy of the Shechinah—whether one arrives there by nature (Levi) or by return (Ishmael).”
Bottom line from the sources:
Levi’s 137 years reveal that 137 is the lifespan of the perfectly purified guardian of Israel’s camp—the one whose zeal and separation from tumah make the dwelling of the Shechinah possible. When Ishmael later dies at the same age, it proves that even the most distant soul can reach Levi’s level through teshuvah.
Thus 137 = the measure of the vessel that is ready to receive HaShem’s presence, either by birthright (Levi) or by complete return (Ishmael).
Amram: Father of Moses and Aaron, died at age 137.
Why did Levi, Ishmael, and Amram all live to this specific age? The meforshim suggest that 137 represents the "Fullness of the Soul". It is 100 (completion of the physical/outer dimensions) + 37 (the numerical value of Hebel/Abel, who represents the "breath" or spirit). By living to 137, these figures integrated the material "100" with the spiritual "37," reaching a state of perfection that allowed them to pass the torch to the next phase of Jewish history.
To understand 137, one must understand its components. In Kabbalah, the soul has five levels: Nefesh, Ruach, Neshama, Chayah, and Yechida.
Yechida (יחידה): This is the highest, most singular point of the soul that remains constantly "One" with the Creator.
The Gematria of Yechida is 37.
(י=10, ח=8, י=10, ד=4, ה=5) = 37
The Insight: When a person lives a life of "100" (fullness in the physical world) and permeates it with their "37" (the Yechida light), they reach 137. This explains why Ishmael, Levi, and Amram lived to 137. The meforshim suggest they achieved a "Complete Yechida"—they successfully anchored the highest spiritual light into the physical duration of their lives.
* * *
Abraham was 137 years old during the Binding of Isaac (the Akeida), a pivotal moment of spiritual testing and receiving.
Bereshit (Genesis) 22:1-18 1 And it came to pass after these things, that God tested Abraham, and He said to him, "Abraham," and he said, "Here I am." 2 And He said, "Please take your son, your only one, whom you love, Isaac, and go away to the land of Moriah and bring him up there or a burnt offering on one of the mountains, of which I will tell you." 3 And Abraham arose early in the morning, and he saddled his donkey, and he took his two young men with him and Isaac his son; and he split wood for a burnt offering, and he arose and went to the place of which God had told him. 4 On the third day, Abraham lifted up his eyes and saw the place from afar. 5 And Abraham said to his young men, "Stay here with the donkey, and I and the lad will go yonder, and we will prostrate ourselves and return to you." 6 And Abraham took the wood for the burnt offering, and he placed [it] upon his son Isaac, and he took into his hand the fire and the knife, and they both went together. 7 And Isaac spoke to Abraham his father, and he said, "My father!" And he said, "Here I am, my son." And he said, "Here are the fire and the wood, but where is the lamb for the burnt offering?" 8 And Abraham said, "God will provide for Himself the lamb for the burnt offering, my son." And they both went together. 9 And they came to the place of which God had spoken to him, and Abraham built the altar there and arranged the wood, and he bound Isaac his son and placed him on the altar upon the wood. 10 And Abraham stretched forth his hand and took the knife, to slaughter his son. 11 And an angel of God called to him from heaven and said, "Abraham! Abraham!" And he said, "Here I am." 12 And he said, "Do not stretch forth your hand to the lad, nor do the slightest thing to him, for now I know that you are a God fearing man, and you did not withhold your son, your only one, from Me." 13 And Abraham lifted up his eyes, and he saw, and lo! there was a ram, [and] after [that] it was caught in a tree by its horns. And Abraham went and took the ram and offered it up as a burnt offering instead of his son. 14 And Abraham named that place, The Lord will see, as it is said to this day: On the mountain, the Lord will be seen. 15 And an angel of the Lord called to Abraham a second time from heaven. 16 And he said, "By Myself have I sworn, says the Lord, that because you have done this thing and you did not withhold your son, your only one, 17 That I will surely bless you, and I will greatly multiply your seed as the stars of the heavens and as the sand that is on the seashore, and your descendants will inherit the cities of their enemies. 18 And through your children shall be blessed all the nations of the world, because you hearkened to My voice."
Abraham was exactly 137 years old at the Akedah (the Binding of Isaac), according to the unanimous position of Chazal and the major meforshim.
Primary sources:
Seder Olam Rabbah ch. 1
“Abraham was 137 years old when the Akedah took place.” (Calculated: Isaac was 37 at the Akedah; Sarah died immediately afterward at 127, therefore Abraham was 137.)
Bereshit Rabbah 56:8, Pirkei deRabbi Eliezer 31, Rashi (Genesis 22:1), Ramban, Ibn Ezra, Radak — all accept this chronology.
How the Akedah at age 137 reveals the deepest meaning of the number 137:
Zohar I:119b–120a (and Tikkunei Zohar 22)
The Akedah is the ultimate act of קַבָּלָה kabbala, total reception/submission of the human will to the Divine will. Abraham at 137 becomes the perfect vessel that receives the Shechinah without any barrier. 137 = קַבָּלָה (132 + 5 for the hei (ה) of the Shechinah) is sealed forever at the moment of the Akedah.
Arizal (Sha’ar HaPesukim, Vayera)
At the Akedah, Abraham elevated the 137 sparks that had fallen into the klipah of Yishmael and the impure forces. By offering Isaac (the holy seed), he reclaimed and sweetened the very same 137 that Ishmael would later achieve through teshuvah and Levi through birth. Thus the Akedah is the root of the number 137.
Sefat Emet (Vayera 5634)
“Abraham at 137 is the source from which both Levi and Ishmael later draw their 137. Levi inherits it by birth because Abraham merited it at the Akedah; Ishmael reaches it through teshuvah because Abraham’s self-sacrifice opened the gate of return for even the most distant seed.”
Concise conclusion from the sources:
The Akedah at Abraham’s age 137 is the original event that imprints the number 137 with its eternal meaning: 137 = the moment when a human being becomes the perfect קַבָּלָה — the vessel that receives the Shechinah without any admixture of ego or tumah.
- Abraham creates the possibility at 137 (Akedah)
- Levi inherits it at 137 (holy birthright)
- Ishmael returns to it at 137 (teshuvah)
All three 137s flow from the same root: the total surrender on Mount Moriah.
* * *
The Baal HaTurim (on Exodus 6:16) notes a hidden pattern in the lives of the fathers of the nation:
Abraham was 100 when Isaac was born.
Isaac was 37 when he was "offered" at the Akeida.
Total = 137.
The meforshim explain that the "Jewish DNA" was essentially "baked" during these 137 years. Everything that happened afterward, the descent to Egypt, the Exodus, and the Giving of the Torah, was a result of the spiritual "potency" created in those 137 years of the Patriarchs' lives.
In mysticism, the Hebrew word קבלה (Kabbalah) has a Gematria (numerical value) of 137. It describes the “corresponding loops” which clasped together enjoin the two sections of the Tabernacle’s ceiling. These loops divided the Holy Place and the Holy of Holies - the physical dimension and the spiritual dimension - and at the boundary line of the physical world, the number 137 emerges.
The number 137 appears in the physical dimensions of the curtains of the Mishkan. In Exodus 26, the dimensions of the goat-hair curtains are given.
The total length of the curtains, when joined together, involves calculations that some commentators[9] link to the number 137.
They explain that the Mishkan was a physical vessel designed to "receive" (Kabbalah) the Shekhinah (Divine Presence). The fact that the vessel's measurements hint at 137 reinforces the idea that 137 is the "Measure of a Vessel”.
* * *
There is a fascinating, often overlooked connection in the Talmud[10] and the Mishnah regarding the structure of the Second Temple.
The Meforshim on the measurements of the Beit HaMikdash discuss the "137 cubits" found in specific areas of the Temple courtyards (the Azarah).
The length of the Azarah was 187 cubits.
However, the area where the actual sacrificial service and the "climax" of the Temple's holiness occurred—from the beginning of the Ezrat Yisrael to the back of the Holy of Holies—is often calculated by the meforshim as totaling 137 cubits.
The Insight: Just as the word "Kabbalah" (137) means receiving, this specific 137-cubit space was the physical "vessel" on Earth designed to receive the Shekhinah (Divine Presence).
* * *
Deep students of Gematria note that 137 is the 33rd prime number.
33 is the Gematria of "Gal" (גל), which means "reveal" (as in Gal Einai - "Open my eyes").
It is also the number of Lag BaOmer, the day associated with the revelation of the Zohar (the inner light of Torah).
The Final Insight: To reach the 33rd prime (137) is to "reveal" the "Hidden Light" that was concealed for 36 hours.
* * *
This study was written by
Rabbi Dr. Hillel ben David (Greg Killian).
Comments may be submitted to:
Rabbi Dr. Greg Killian
12210 Luckey Summit
San Antonio, TX 78252
Internet address: gkilli@aol.com
Web page: https://www.betemunah.org/
(360) 918-2905
Return to The WATCHMAN home page
Send comments to Greg Killian at his email address: gkilli@aol.com
[1] M. Lederman, The God Particle: If the Universe Is the Answer, What Is the Question?
[2] Richard Feynman
[3] Bereshit (Genesis 25:17)
[4] https://quantumtorah.com/137-the-coupling-of-light-and-matter/
[5] I, 122b
[6] Shemot (Exodus) 6:16
[7] Bereshit (Genesis) 34
[8] Shemot (Exodus) 6
[9] like the Reshit Chochmah
[10] Tamid 28a